Wielu ludzi myśli, że potrafi prawidłowo rozwiązać to równanie. Jednak są w błędzie…

Choć niektóre działania matematyczne wyglądają zupełnie prosto, okazuje się, że otrzymane wyniki mogą znacznie różnić się od siebie. Co więcej, niektórzy są nawet w stanie się o nie kłócić, mimo że kompletnie nie mają racji. Jedno jest pewne: matematyka rządzi się swoimi prawami i prawidłowy wynik może być tylko jeden!

 

 

Powód, dla których otrzymane wyniki nie są ze sobą zgodne jest prosty. Od najmłodszych lat byliśmy uczeni sposobu (kolejności) rozwiązywania działań w celu osiągnięcia właściwej odpowiedzi. Niestety, wielu z nas o tym zapomniało, przez co otrzymane wyniki mogą znacznie się od siebie różnić.

 

 

Doskonałym przykładem, aby sprawdzić Twoją matematyczną wiedzę, będzie przedstawione poniżej równanie, które budzi ostatnimi czasy mnóstwo emocji wśród internautów.

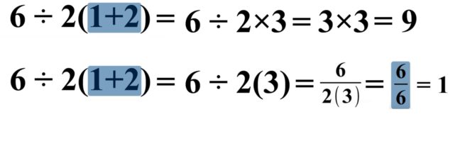
Jeśli otrzymany przez Ciebie wynik wynosi 1 albo 9 to nie jesteś sam – zdecydowana większość ludzi uzyskuje jedną z tych odpowiedzi.

Niektórym osobom wychodzi 0, 3 lub nawet 6, jednak żadna z tych trzech odpowiedzi nie jest poprawna.

Powód, dla którego część z nas otrzymuje wynik 9 lub 1, zależy od tego w jaki sposób nauczyliśmy się rozwiązywać działania matematyczne.

Zgodnie z prawidłową kolejnością rozwiązywania działań, właściwym wynikiem jest liczba… 9. Życie (i matematyka) bywają jednak nieco bardziej skomplikowane i otrzymany wynik wcale nie musi być tak oczywisty. Wydawać by się mogło, że zamiast dzielenia śmiało możemy postawić kreskę ułamkową, jednak nasuwa się wtedy pytanie, czy 12:6:2 to to samo, co 12:6/2?

 

A Ty jaki wynik otrzymałeś?

 

 

 

Udostępnij i podziel się z łamigłówką ze znajomymi! 😉

Kopiuj
error: Content is protected !!